煉化企業裝置內的節能增效潛力已逐漸趨近瓶頸,但在裝置間還存在熱聯合節能技術。熱直供料就是一種“熱聯合”形式,它是裝置間的物料供給方式:即上游裝置的產品物流不經過冷卻或者不完全冷卻,也不送至中間罐區儲存再用泵送至下游裝置,而是直接引至下游裝置作為進料[1-2]。此技術省去了儲運中轉的過程,既可降低中間罐區需要的罐容、蒸汽消耗和泵送功耗,又可節約上游裝置的循環冷卻水和減少罐區尾氣的排放。
Ⅲ連續重整裝置為對二甲苯裝置的上游裝置,為對二甲苯裝置提供C8芳烴原料,其供料方式有冷熱兩種供應方式,冷熱供料溫差約60℃,如此大的溫差體現了熱供料內在的節能潛力。但由于設計原因,Ⅲ連續重整裝置二甲苯塔回流泵壓頭不足無法實際應用熱供料方式,若換泵則成本高,針對這個問題,對原設計熱供流程進行改造并一次性投用成功。
1、流程改造及方案實施
1.1對二甲苯(PX)裝置概況
某煉油廠600kt/a對二甲苯裝置,于2008年12月建成投產,由歧化單元、吸附分離單元、異構化單元、二甲苯精餾單元及聯合裝界區內配套的公用設施組成[3]。歧化單元采用臨氫/固定床甲苯歧化和烷基轉移催化劑。吸附分離單元采旋轉閥模擬逆流移動床工藝原理,實現對二甲苯從C8芳烴混合中的分離。異構化單元采用乙苯轉化型催化劑[4]。異構化主要反應為二甲苯同分異構體之間的異構,對乙苯轉化型催化劑而言,乙苯主要異構成二甲苯,除主反應外,還有一些不期望發生的歧化、脫烷基和裂解反應[5-7]。
目前對二甲苯裝置主要以來自Ⅰ、Ⅱ連續重整裝置的C8+餾分和Ⅱ連續重整裝置的混芳為原料,以Ⅲ連續重整C8芳烴為補充料,生產苯、對二甲苯和鄰二甲苯,同時副產高辛烷值汽油組分、燃料氣及重芳烴等。
1.2改造流程
Ⅲ連續重整裝置來C8芳烴有冷C8和熱C8兩種供應方式,冷C8流程是先通過Ⅲ連續重整空冷器和水冷器進C8芳烴中間儲罐,再通過泵打入脫庚烷塔,在脫庚烷塔底排出進入二甲苯塔,分餾后從塔頂進入吸附進料緩沖罐;熱C8流程是不經空冷器和水冷器,在與異構化白土塔出口匯合后直供PX裝置二甲苯塔。針對Ⅲ連續重整裝置熱C8芳烴直供過程中泵壓頭不足的問題,2022年8月對原設計流程進行了重新修訂和改造,即利用Ⅲ連續重整熱C8原熱供流程,在與異構化白土塔出口管線匯合前新增管線直接引至吸附進料緩沖罐入口,改造前后流程見圖1。

1.3方案實施
改造流程于2023年8月15日正式投用,分兩個階段完成,第一階段,Ⅲ連續重整裝置熱C8芳烴通過控制閥按照目標流量大部分供吸附進料緩沖罐、另外少部分通過冷C8流程至C8芳烴中間儲罐,保留C8芳烴冷供泵流量在5t/h以上,通過冷C8芳烴進PX裝置流量調整C8芳烴平衡;第二階段,Ⅲ連續重整裝置熱C8芳烴全供吸附進料緩沖罐,中間儲罐停止進出、C8芳烴冷供泵停運,通過C8芳烴系統罐位平衡以及吸附和歧化負荷調整C8芳烴平衡。目前處于第一個階段,Ⅲ連續重整裝置熱C8直供PX裝置吸附進料緩沖罐約為23t/h,冷C8進中間儲罐約為13t/h。
2、效果分析
2.1熱直供料對吸附進料組成的影響
由于Ⅲ重整裝置C8芳烴熱直供料占整個吸附進料的比重不大,熱直供料對吸附進料組成的影響不是很明顯,主要表現在非芳、苯、甲苯以及鄰二甲苯含量變化上。由于熱直供料中攜帶的少量苯和甲苯因未經脫庚烷塔脫除,導致吸附進料緩沖罐進料中的苯和甲苯少量增多,由此增加的苯會占據吸附劑的有效孔容,降低吸附劑對PX的選擇性[7],增加的甲苯雖不會影響PX產品的純度,但會影響PX產量。由于熱直供料中非芳含量較少,直供后吸附進料中的非芳含量下降,而脫庚烷塔塔底的非芳含量增多。由于熱直供料中鄰二甲苯含量比吸附進料緩沖罐中要高,熱直供后吸附進料中的鄰二甲苯含量上升,而乙基苯、對二甲苯、間二甲苯含量基本維持不變。
2.2熱直供料對脫庚烷塔進料溫度的影響
從換熱角度看,熱直供料溫度為95℃,而吸附進料緩沖罐入口溫度為230~235℃,熱直供料的匯入勢必會降低進料緩沖罐出口溫度,進而影響后續的換熱環節熱直供后,吸附進料/解析劑換熱器(E27)管程出口溫度下降了約4.5℃,為保證吸附進料溫度維持在185℃,脫庚烷塔進料/吸附進料換熱器(E12)管程旁路閥開度由73.2%增加到了78.6%,熱直供料對E27和E12的影響見圖2。為維持異構化白土塔進料溫度為195℃,脫庚烷塔進料/脫庚烷塔底液換熱器(E11)管程旁路閥開度由52.0%增加到了66.6%,熱直供料對脫庚烷塔和E11的影響見圖3。盡管脫庚烷塔進料量隨冷C8供應量的減少而減少,但是脫庚烷塔進料溫度卻從158℃下降到了155℃。綜上所述,隨著熱直供料的增加,為維持吸附進料溫度和異構化白土塔進料溫度的穩定,必然會導致脫庚烷塔進料溫度下降。

2.3熱直供料對鄰二甲苯、對二甲苯產量的影響
熱直供前后二甲苯塔鄰二甲苯組分物料分析見
表1。其中,Ⅰ連續重整裝置C8芳烴來流量為零,熱直供前Ⅲ重整冷供C8芳烴流量為33t/h,熱供后Ⅲ重整熱供C8芳烴流量為13t/h,冷C8芳烴流量為20t/h。由于計量表存在一定偏差,導致二甲苯塔出物料總量比進料量多5t/h,相對誤差小于3%,鄰二甲苯出二甲苯塔總凈流量比鄰二甲苯進二甲苯塔總凈流量多約2t/h,相對誤差小于3%,表明計算結果是可靠的。通過冷供C8芳烴流量少13t/h,可計算出脫庚烷塔底出鄰二甲苯凈流量少2.86t/h,這與表1衡算結果2.81t/h基本一致,表明冷供C8減少芳烴是脫庚烷塔底出鄰二甲苯凈流量少的原因。
由表1可知,在二甲苯塔總進料流量少6t/h,鄰二甲苯凈流量少2.86t/h情況下,二甲苯塔塔底鄰二甲苯凈流量少0.1t/h,表明熱直供料對鄰二甲苯塔產量幾乎無影響。
根據C8循環流程可知,C8芳烴依次經過吸附分離單元和異構化反應后會再次回到二甲苯塔,期間只有鄰二甲苯和對二甲苯作為產品采出,而間二甲苯和乙苯在不斷的C8循環中平衡轉化成鄰二甲苯和對二甲苯。在C8芳烴來源總量相同的情況下,直供料的增加會導致鄰二甲苯產量減小0.1t/h,但影響不大,這與表1衡算結果一致。對二甲苯含量增加1.8t/h,主要是乙苯含量低的優質吸附原料增加,即甲苯塔來料增加1.2t/h,其次是熱直供料中鄰二甲苯含量高,使二甲苯異構體平衡向對二甲苯轉化[8],兩者協同作用導致對二甲苯產量增加[9]。熱直供料對鄰二甲苯、對二甲苯產量的影響見表2。
2.4熱直供料對PX裝置能耗的影響
2.4.1能耗分析
冷C8芳烴供PX量減少后,脫庚烷塔進料/異構化反應液換熱器殼程出口溫度由125℃上升到了129℃;脫庚烷塔進料/異構化反應液換熱器管層程出口溫度由121℃上升到了125℃,熱直供料對E9的影響見圖4,這會導致異構化反應進料溫度上升,脫庚烷塔塔底加熱爐燃料氣用量減少。脫庚烷塔進料溫度下降3℃,會導致脫庚烷塔塔底加熱爐燃料氣用量增加,而脫庚烷塔進料量減少約20t/h,異構化反應進料溫度的上升4℃,會導致脫庚烷塔塔底加熱爐燃料氣用量減少,二甲苯塔進料量減少也會導致二甲苯塔塔底加熱爐燃料氣用量減少,綜上所述,脫庚烷塔塔底加熱爐和二甲苯塔加熱爐燃料氣綜合用量能夠反映熱C8芳烴直供對PX裝置用能的影響[10-11]。

隨著熱C8芳烴直供量的增加,脫庚烷塔塔底加熱爐燃料氣用量增加,二甲苯塔塔底加熱爐燃料氣用量減少,見圖5。在熱C8芳烴直供量為23t/h,冷C8芳烴供應量為13t/h情況下,脫庚烷塔塔底加熱爐燃料氣用量增加約50m3/h,二甲苯塔塔底加熱爐燃料氣用量減少約146m3/h,節約燃料氣約96m3/h。
從脫庚烷塔和二甲苯塔回流來看,脫庚烷塔回流量從70.5t/h下降到62.5t/h,二甲苯塔回流量從1280t/h下降到1275t/h。綜上所述,表明熱C8芳烴直供吸附進料緩沖罐是節能的。

2.4.2節能驗證
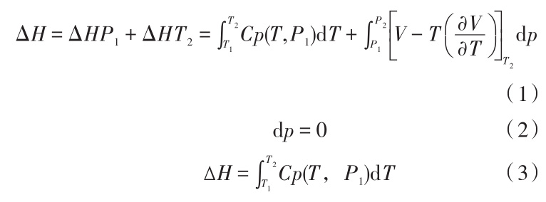
Ⅲ重整C8芳烴主要成分是乙苯、間二甲苯、鄰二甲苯、對二甲苯,主要成分的焓差即代表了Ⅲ重整C8芳烴的焓差,通過對主要組分歸一化,Ⅲ重整C8芳烴中乙苯、間二甲苯、鄰二甲苯、對二甲苯含量分別為0.16、0.42、0.22、0.19。由于熱供和冷供過程對Ⅲ連續重整C8芳烴泵送出口壓力基本無影響,可視熱供和冷供壓力一致。熱供C8芳烴和冷C8芳烴焓差可看成是C8芳烴從狀態1(T1=30℃,P1=800kPa)變化到狀態2(T2=90℃,P2=800kPa)的焓差。

液體有機化合物的摩爾定壓熱容Cp~T關系式[10-11]為:

式中:ΔH為物質體系由狀態(T1,P1)經某種途徑到達終態(T2,P2)時的焓差,J/mol;ΔHP1為物質體系由狀態(T1,P1)經某種途徑到達終態(T2,P1)時的焓差,J/mol;ΔHP2物質體系由狀態(T2,P1)經某種途徑到達終態(T2,P2)時的焓差,J/mol;Cp為摩爾定壓熱容,J/(mol·K);P為壓力,Pa;T為溫度,K;A、B、C為常數,A的單位為J/(mol·K),B的單位為J/(mol·K2),C的單位為J/(mol·K3)。
通過式5計算得冷熱C8芳烴焓差為11094.20J/mol,見表3,C8芳烴的分子質量為106.165g/mol,按目前熱C8芳烴直供量為23t/h,可計算得熱供C8可節省能耗2403.5MJ/h,煉油廠然料氣熱值為39775MJ/t,約節約燃料氣60.4kg/h,燃料氣密度為0.6~0.8kg/m3,折合為體積為75.5~100.7m3/h,而實際節約燃料氣約96m3/h,在理論值范圍內。

3、結論
1)由于C8芳烴熱直供量較整個吸附進料量占比不大,熱直供料對吸附進料組成的影響不是很明顯,主要表現在熱直供后,吸附進料中非芳含量減少,苯、甲苯、鄰二甲苯含量上升。
2)隨著熱直供料的增加,會導致吸附進料緩沖罐出口溫度下降。為維持吸附進料溫度和異構化白土塔出口溫度穩定,脫庚烷塔進料/脫庚烷塔底液換熱器和脫庚烷塔進料/吸附進料換熱器管程旁路閥開度增加,最后反映在脫庚烷塔進料溫度上,導致脫庚烷塔進料溫度下降3℃。
3)通過鄰二甲苯物料衡算可以看出,熱直供料的增加會導致鄰二甲苯產量下降。由于熱直供量流量占吸附進料流量較小,熱直供對鄰二甲苯產量影響不大。對二甲苯產量增加,一是優質吸附原料甲苯塔料增加,二是熱直供料中鄰二甲苯含量高導致的平衡轉化成對二甲苯。
4)熱直供料對PX裝置能耗的影響過程是復雜的,但可以通過脫庚烷塔和二甲苯塔的總能耗反映出。在熱C8芳烴直供量為23t/h,冷C8芳烴供應量為13t/h情況下,總共節約燃料氣約96m3/h。通過計算冷熱C8芳烴的焓差,得出熱直供C8芳烴理論上能節約燃料氣75.5~100.7m3/h,進一步驗證了節能的實際結果。
參考文獻:
[1] 易建彬.燃料型重整裝置改造新增二甲苯產品分離方案研究[J].煉油技術與工程,2023 (7):10-15.
YI Jianbin. Research on the separation scheme of new xy-lene products for fuel type reforming device[J]. Petroleum Refinery Engineering,2023 (7):10-15.
[2] 王亞君.煉廠熱供料優化及效果評估[J].山東化工,2023,52 (8):190-196.
WANG Yajun. Optimization and effect evaluation of heat-supply materials in refinery[J]. Shandong Chemical Indus-try,2023,52 (8):190-196.
[3] 邢獻杰,徐宏,楊明輝.對二甲苯裝置抽余油塔過程分析與脫瓶頸改造[J].石油煉制與化工,2015,46 (9):38-42.
XING Xianjie,XU Hong,YANG Minghui.Process analy-sis and bottleneck removal renovation of residual oil tower in paraxylene unit[J]. Petroleum Processing and Petrochemi-cals,2015,46 (9):38-42.
[4] 王玉新,梁戰橋.RIC-270 二甲苯異構化催化劑的乙苯轉化性能研究[J].石油化工,2020,49 (9):914-918.
WANG Yuxin,LIANG Zhanqiao.Analysis of ethylbenzene conversion performance of RIC-270 xylene isomerization cat-alyst[J]. Petrochemical Technology, 2020, 49 (9):914-918.
[5] 牛俊峰,梁戰橋.二甲苯異構化工業過程中副反應的控制[J].石油化工,2015,1 (44):89-93.
NIU Junfeng, LIANG Zhanqiao. Controlling of side reac-tions in industrial xylene isomerization process[J]. Petro-chemical Technology,2015,1 (44):89-93.
[6] 周震寰,康承琳,張愛軍,等.二甲苯異構化反應機理研究及催化劑的改進[J].石油煉制與化工,2017,48(9):8-13.
ZHOU Zhenhuan, KANG Chenglin, ZHANG Aijun, et al.Research on the mechanism of xylene isomerization reaction and improvement of catalysts[J]. Petroleum Processing and Petrochemicals,2017,48 (9):8-13.
[7] 楊彥強,柏成鋼,王紅超等.對二甲苯吸附劑 RAX-4000 的 工 業 應 用 特 點 [J]. 石 油 煉 制 與 化 工 , 2023, 7(54):42-45.
YANG Yanqiang, BAI Chenggang, WANG Hongchao, et al. Characteristics of commercial application on the RAX-4000 adsorbent of paraxylene[J]. Petroleum Processing and Petrochemicals,2023,7 (54):42-45.
[8] 王輝國,楊彥強,王紅超,等.BaX 型分子篩上對二甲苯 吸 附 選 擇 性 影 響 因 素 研 究 [J]. 石 油 煉 制 與 化 工 ,2016,3 (47):2-4.
WANG Huiguo,YANG Yanqiang,WANG Hongchao,et al.Research on the factors affecting the selectivity of dimethyl-benzene adsorption on BaX molecular sieves[J]. Petroleum Processing and Petrochemicals,2016,3 (47):2-4.
[9] YAWS C L.Thermodynamic and Physical Property Data[M].Houston:Gulf Publishing Co.,1992:1-50.
[10] 馬沛生.石油化工基礎數據手冊[M].北京:化學工業出版社,1993:60-68.
MA Peisheng.Basic data manual for petrochemical industry [M].Beijing:Chemical Industry Press,1993:60-68.
[11] 王松漢.石油化工設計手冊[M]. 北京:化學工業出版社,2001:84-95.
WANG Songhan. Petrochemical design manual[M]. Bei-jing:Chemical Industry Press,2001:84-95.
無相關信息
tengyuti.com
騰宇微信二維碼